Opus nr. 433 - Ministrul David are o problema cat Clujul: scoala bogatilor, macinata de paduchi, practici voodoo ale patroanei si santaje psihologice. MUSAI: Armele chinezilor, prezentate in detaliu
Trebuie musai sa citesti editia de azi a newsletterului Strict Secret.
Sunt asaltat efectiv de marturii despre ceea ce pare a fi Colegiul Groazei, Transylvania Horror College. Am scris despre el acum cateva zile si materialul a generat foarte multe reactii.
Oameni care au lucrat acolo relateaza lucruri abominabile. Avem astazi marturia unui medic pediatru care ne lasa masca: cabinetul medical de la Transylvania College nu are autorizatie, in scoala e mizerie si nenumarate cazuri de paduchi, plus… ceva ce deja apare recurent, ceva foarte periculos. O obsesie ce pare deja patologica din partea fondatoarei Ruxandra Mercea de a forma acolo o secta terapeutica woke in care ea sa fie lider spiritual. Nu exagerez. Am pus in text o poza obtinuta cu greu din timpul unei sesiuni de “terapie si well being”, uitati-va si voi, zici ca suntem in ograda unei ghicitoare rrome care combina samanismul de Kaufland cu practicile voodoo ale schizofreniei nemedicate.
Sunt intrebari care asteapta raspunsuri imediate:
– dobitoaca de Marinela Marc, inspector scolar sef la Cluj, de ce nu a prezentat deja un raport de control in scandalul Transylvania College? Cand a avut loc ultimul control de fond pe linie de educatie de la Inspectorat?
– Cand a efectuat ARACIP ultimul control de fond acolo? ARACIP e
Agenția Română de Asigurare a Calității în Învățământul Preuniversitar si realizează evaluarea externă a calităţii educaţiei oferite de instituţiile de învăţământ preuniversitar şi de alte organizaţii furnizoare de educaţie, precum și autorizarea, acreditarea şi evaluarea periodică a unităţilor de învăţământ preuniversitar. Mi se pare ca nu au prea fost acolo de un secol.
– Cand a fost ultima oara in control inopinat vreun inspector de la Directia de Sanatate Publica Cluj pe la Transylvania College? Sau nu e voie, ca Ruxi Mercea are pile?
- Cand a fost ANAF Cluj pe la Transylvania College in control pentru a vedea traseele de bani, avand in vedere ca Mercea incaseaza bani publici cu duiumul, dar si bani privati si se plange in mod suspect ca nu are bani?
imesc carute de bani luna de luna pentru sustinerea salariilor profesorilor pe componenta de limba romana.
Va dati seama ce teapa elaborata da fondatoarea Ruxi Mercea de la Transylvania College parintilor platitori? Hrapareata asta se smiorcaie in comunicarile cu parintii ca ii merge tare greu si ca an de an trebuie sa mareasca taxele cu 10 sau 15 la suta (de fapt, le impun maririle parintilor captivi), desi, cel putin pe partea de limba romana, aceasta scoala practic primeste un ajutor nesperat de care firme private din alte domenii nu beneficiaza: plata salariilor angajatilor, in cazul asta profesorii.
Pai, asa stim cu totii sa facem performanta in educatie, nu? Mai ales cand te gandesti ca Transylvania College a fost edificata pe ajutorul „de oras” care a insemnat concesionarea la un pret de nimic a pretiosului teren pe care functioneaza.
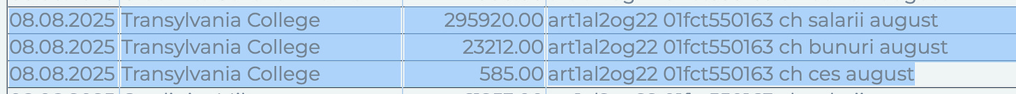
Ia uitati cati bani i-a dat Boc doar in august 2025!
Adica scolile de stat sunt inchise ca David zice ca nu mai sunt bani, si DIN BANII NOSTRI, se platesc milioane de euro catre SCOLI PRIVATE?
E normal asa ceva?
Dar socul pentru voi ar trebuie sa vina chiar acum. Va arata mandea de ce: pe 2024, pe entitatea care reprezinta fiscal scoala, adica asta de mai jos, Ruxi Mercea (foto sus) a incasat incredibila suma de 34,8 MILIOANE DE LEI!
Bai, cititorii mei preferati, va dati seama? Fata asta face 7 milioane de euro de pe portofelele parintilor care, idiotii si lasii de ei, tot ei accepta ca Mercea sa le abuzeze emotional copiii, accepta sa fie santajati si amenintati si calcati in picioare!
Mai mult, Mercea sta cu curul ala woke pe capitaluri proprii de doua milioane si un pic de euro, dar, in mod ciudat, pentru banii pe care ii incaseaza de ani de zile, are creante de 3,5 milioane. Este scoala in default economic din cauza prostului management financiar?
– Cine este reprezentantul Primariei clujene in CA-ul Transylvania College? Cum se dau acesti bani? Cine verifica daca contractul de concesiune dintre Primaria Cluj-Napoca si Transylvania College a fost respectat?
Exista vreun procuror la Parchetele clujene care sa verifice potentialul unei infractiuni de inselaciune? Surse avizate imi spun ca Mercea a pierdut acreditarea pentru scoala din partea entitatii Cambridge, desi informatia inca e prezenta pe siteul Transylvania College, ca trigger de marketing pentru parintii fraieri. Anul acesta examenele nu s-au mai dat pe sistemul Cambridge, ci Edexcel.
Sunt importante marturiile parintilor si angajatilor, confesiunile pe care mi le fac mie, dar acum mi se pare ca e mai mult decat oricand nevoie de autoritati de control.
Transylvania College a ajuns Transylvania Horror College, ce pare un azil-sanatoriu, dar nu pentru batrani, ci pentru copii, copii ce sunt supusi unor experimente si abuzuri psihologice ce frizeaza penalul.
Un mesaj pentru Ruxi Mercea. Poti sa te bazezi pe pile cat vrei, nu te va ajuta. Azi va citi si Daniel David, ministrul Educatiei, despre “realizarile” tale.
De data asta nu mai scapi.
Liviu Alexa
“Numele meu este A.C , sunt medic specialist pediatru si anul trecut eu aveam un post la stat ca medic scolar in teritoriu, deci faceam naveta din Cluj in alt oras si eram determinata sa renunt ca sa pot sa fiu mai aproape de casa pentru ca eram extenuata de atata drum si garzi. Am luat, asadar, legatura printr-o cunostinta cu o doamna ce este head of HR la Transylvania College si ca ei doresc angajarea unui medic pediatru. In primul rand, vreau sa mentionez neprofesionalismul lor de a lasa oamenii pe hold si seen sa se arate cat de importanti sunt, in conditiile in care ei credeau ca imi dau demisia si a doua zi sunt acolo. Ii explicam doamnei ca eu am nevoie de un precontract de colaborare, in ordine pentru a-mi deschide un PFI si pentru a sti cand sa intru in preaviz. Eram, efectiv, lasata cu seen cu zilele. Am zis ca o fi ocupata. Cand in cele din urma am avut hartiile, nu mi-a mai zis nimic. Mentionez ca ne-am vazut o singura data cand am spus clar ca eu voi lucra cateva dupa mese si la un cabinet si voi mai efectua garzi, asta insemnand ca vor fii zile cand poate va trebui sa plec mai repede de acolo. Unu la mana, cabinetul de la Transylvania College nu are autorizatie, dar asta nu ma deranja atata timp cat ma lasau sa imi desfasor activitatea in celalalte locuri de munca si initial asa am batut palma.
Mi s-a facut un tur al scolii, doar pentru ca eu am cerut si insistat pentru ca erau cateva zile si trebuia sa incep munca. Mi s-au expus blablaurile de rigoare, totul cu un zambet fals ca “noi suntem o comunitate si lucram in echipa si punem accent pe wellbeing”. Parea un vis ce mi se spunea.
Asadar, incep munca, unde nu mi s-a zis uite ai enspe de aplicatii de folosit si uite cum trebuie folosite pentru diverse lucruri, pentru a comunica cu parintii, pentru anunturi etc.
Eu descopeream totul pe parcurs si de fiecare data imi atrageau atentia ca trebuia comunicat asa cum vroiau ei pe platforme si aplicatii. Spuneam ca nu am stiut, nu mi s-a spus, aratat.
Apoi mi s-a comunicat ca atunci cand vad un caz in cabinet ce mi se pare ca are nevoie de consiliere psihologica, adica de wellbeing cum spun ei, sa iau legatura cu doamnele din acel departament si sa ii trimit neaparat acolo.
Initial, cu cativa copii am facut, dar treptat am realizat ca oamenii de acolo nu au acreditari, nu au competente suficiente sa ia copii la terapie si tot ce fac e sa le suceasca mintile atat lor, cat si parintilor.
Am asistat la faze la care ei dadeau verdicte si diagnostice fara nicio pregatire sau patalama facandu-i pe copii agitati, cu adhd, autisti, etc! Cum sa spui asta cand personalul tau este rebut, cand ai profesori, educatori ce nu isi iau examenele la stat si acolo se angajeaza oricum.
Personalul, nu tot, pentru ca sunt si oameni competenti acolo, e praf, nu sunt toti in masura sa lucreze cu copiii, nu fac fata si atunci dau vina pe copii si ajung in fata acestor sesiuni de coaching si consiliere.
Lucrurile astea mi le spuneau si unii parinti.
Bullying-ul acolo este in floare, de multe ori erau copii cu diverse acuze dureri de cap, burta si ajungeau de fapt sa imi zica ca erau tinta unor rautati si, surpriza, in functie de preferintele Ruxandrei se luau sau nu masuri.
Am avut o domnisoara cu anumite probleme cardiace ce avea recomandare de la cardiolog sa poarte smartwatch pentru monitorizare, insa conducerea a decis ca nu are voie, insa eu personal vazusem alti copii cu aceste deviceuri pe mana. Dupa insistente si mers la medici, in cele din urma a inteles si conducerea ca e necesar acest ceas, dar cuvantul meu acolo valora zero.
Un alt aspect ce m-a lasat masca erau sesiunile de coaching ale Ruxandrei cu angajatii, obligatorii ca altfel aveam absente.
Acolo aceasta doamna fara pregatiri in ale psihologiei, psihoterapiei, etc ne dadea noua sfaturi cum sa ne traim noi viata prin prisma trailor ei, era total absurd. Era efectiv un abuz acest lucru. Eu personal, la ultimele sedinte nu am mai participat.
Am avut si paduchi in aceasta institutie, unde eu personal cu asistenta am mers zile in sir sa verificam toti copiii si am informat clar parintii si scoala de masurile obligatorii ce trebuiesc luate.
Din nou, cuvantul meu zero pentru multi dintre ei. Eu la randul meu, raspund in fata DSP-ului, am un ordin de la minister dupa care un cabinet scolar trebuie sa lucreze. Am zis sa se faca dezinsectie, nu s-a facut, s-a facut doar curat, ceea ce e zero la ce mizerie este acolo.
Si este mizerie cu motivul ca nu sunt bani si ca femeile de serviciu au ramas putine, fiindca s-a dat afara pe banda rulanta. Eu am comunicat si cu Igiena scolara atunci si mi s-a spus ca in conditiile in care nu se respecta regulile dupa ce eu le-am comunicat, am dreptul sa ii sesizez catre DSP, dar de teama sa nu sufar repercusiuni, am tacut .
Acolo sunt parinti ce sunt cu capul pe umeri si si-au luat copiii si transferat la alte scoli, fiindca si nivelul este cum este.
Cambridge a parasit aceasta institutie, daca lumea mai avea impresia ca e centru acolo cu licenta Cambridge.
Restul parintilor care nu zic nimic raman acolo fiindca nu au optiuni multe de linie internationala.
Dar sunt si cativa care sunt prieteni cu doamna Ruxandra si pentru aceia nu este nimic in neregula acolo si atunci cand nu le convine ceva ca li se zice ca e neastamparat sau bolnav copilul lor, se plang la sefie si fac cum doresc ei. E o anarhie acolo ceva de nedescris.
A mai fost la un moment dat un caz izolat de paduchi si in conditiile astea trebuie sa respect anonimatul si sa comunic doar cu parintii in cauza.
Doamna de la HR a postat anunt in numele meu fara acordul meu fara ca eu sa stiu ceva, clar s-a creat haos.
La un moment dat, am fost si eu ca tot omul in concediu si se presupune ca aceasta sefa a mea stie ca eu mi-am facut hartii, vorbit sa plec.
Am ajuns sa ma intorc si sa ma acuze ca de ce nu am fost la job intr-una din zile si dupa masa in afara programului meu de lucru cand facuse o copila o convulsie febrila, cand oricum singurul lucru de facut era chemat ambulanta.
De acolo s-au iscat discutii ca eu ar trebui sa lucrez ba de la 9-18, ba pana la 17 sau 16 pe aceiasi bani si sa renunt la celalalte locuri de munca, fiindca nu era posibil sa fiu in atatea locuri o data.
Le-am explicat ca nu pot sa fiu dadaca pentru afterschool pentru parintii ce isi lasa copiii pana seara, copii din familii cu mame multe casnice etc.
Nu exista nicaieri medic non stop la o scoala/gradinita. Sa stau sa fiu sclava si marioneta lor pe bani putini, pentru ca nu sunt bani si sa stau sa nu fiu ascultata, oricum, o bataie de joc, mai bine zis.
Le-am explicat frumos de fiecare data, am nevoie sa merg si in alte locuri, eu neavand autorizatie, eu eram ca un muncitor la negru.
Ideea este ca lor, mai bine zis Ruxandrei, nu i-a placut ca eu incercam sa urmez regulile impuse de DSP cu ordinul dupa cate trebuia sa lucrez si faptul ca nu le jucam jocul meschin, asa ca au decis sa incheiem colaborarea facuta pe 12 luni. Au avut tupeul sa ma anunte cu 3 zile inainte de inchiderea scolii/afterschool in iulie, cand ei aveau planurile pe anul urmator din luna mai.
Eu sincer, ma simt eliberata ca am scapat de mirajul acela de comunitate, simteam ca sunt faptasa la toate rautatile patroanei, care pentru o mama de 4 copii, este destul de paralela cu a conduce o scoala.
Nu fac asta din razbunare sau ceva de genu, dar mi se pare ca este abuz si dictatura acolo. Femeia aia nu ar trebui sa mai conduca nimic.”
O mare nicuşoristǎ intoarce armele si il scuipa pe ND: “Cine mai ești tu, Iudă? Nu ți-e rușine că oamenii care au crezut în tine sunt dezamăgiți?
Corina Băcanu Călărașu este una dintre persoanele din mass-media care l-au susținut pe Nicușor Dan la alegerile din 18 mai. Totodată, pe 26 mai, ea s-a aflat pe lista de invitați aleasă pe sprânceană la învestirea în funcție a noului președinte.
Ea se alătură unui grup select de artiști și oameni de presă care au început să lanseze atacuri la adresa lui Nicușor Dan. Cel mai recent caz este al lui Tudor Chirilă.
Prezentatoarea de la KISS FM este supărată că președintele României l-a abandonat pe Ilie Bolojan în demersul promis, de „schimbare adevărată“.
„Dragă Nicușor Dan, nu ai fost ales pentru că ești mai simpatic sau pentru că ești mai prezidențiabil decât alții. Ai fost ales pentru că ai promis o schimbare adevărată. Ai fost ales pentru că ai spus că îl vei face premier pe Bolojan, că în jurul lui se va construi un guvern de oameni care chiar muncesc, nu care mimează. Ăsta a fost biletul tău câștigător.
Și acum?…”, se intreaba marea sustinatoare, care continua astfel…
Pare cu regret, de aici au acces doar abonatii platitori. Mai e foarte putin timp si promotia se inchide, si revin la 49 de lei pe luna.
Merita? sa vedem ce zic cei ce ma sustin:
da click:












